中医药拥有悠久的历史,根植于整体健康观念,强调人体各系统之间的平衡与相互联系。中药是多成分组合发挥多途径机制的复杂体系,如何说明白、讲清楚中医药的疗效,亟需新思路新方法。在人工智能时代背景下,中医药网络药理学为中药机制解析提供了一个合适的方法和视角,但是现有中医药网络药理学研究尚不够深入,缺乏一体化的实验和临床验证。
近期,清华大学李梢团队开展了深入的网络药理学研究阐述了金振口服液治疗急性支气管炎的网络调节作用机制,并与北京中医药大学东直门医院吴圣贤、王俊宏团队合作开展临床试验评价验证了金振口服液治疗急性支气管炎的临床疗效和安全性(图1),为临床-计算-实验联合整合探究中药疗效优势及机制、促进中医药网络药理学深入发展提供了范例。该论文以“Comparison of Jinzhen oral liquid and ambroxol hydrochloride and clenbuterol hydrochloride oral solution in the treatment of acute bronchitis in children: A multicenter, non-inferiority, prospective, randomized controlled trial“为题近期发表于Acta Pharmaceutica Sinica B(APSB)(IF=14.6)。

图1 网络靶标结合临床试验揭示金振口服液干预急性支气管炎关键机制和临床有效性
急性支气管炎是儿童最常见的呼吸道疾病,金振口服液是一种常用的中药复方制剂,具有清热解毒、祛痰止咳的功效,多项临床和基础研究表明,其具有抗炎、镇咳、退热、祛痰和抗多种病毒感染的药理作用,对急性支气管炎有良好治疗作用。随着临床实践的深入,研究其治疗急性支气管炎的机制特征对于指导临床合理应用具有重要意义。
机制层面,李梢团队基于网络靶标理论,应用自主研发的中西医药分子网络导航系统——UNIQ系统,发现对TRP channel信号通路及相关网络的调节是金振口服液治疗急性支气管炎咳嗽症状的一个重要机制,进一步发现其新的作用靶点TRPA1。金振口服液的药效和对该通路上多个关键靶点的干预效果在Poly(I:C)诱导、LPS诱导的气管炎症模型,酚红排出模型,哮喘模型,咳嗽模型和咳嗽高敏感模型等多个动物模型上得到验证,并发现金振口服液体内抑制效果优于TRPA1抑制剂(图2)。

图2 金振口服液对TRPA1的体内抑制效果优于TRPA1抑制剂(TRPA-I)
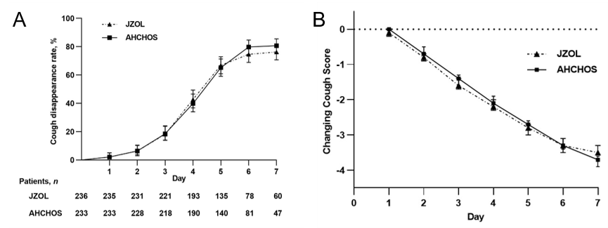
进一步开展了头对头随机对照临床试验,在北京中医药大学东直门医院等24个中心招募480例儿童患者,经RCT试验研究表明,金振口服液与急性支气管炎一线治疗药物氨溴特罗口服溶液对比,干预7天后,两组患者主要疗效指标咳嗽消失的中位时间均为5.0天,同时咳嗽评分显著下降(图3),次要疗效指标咳痰症状积分-时间的AUC和咳痰消失率相近,改善肺部啰音显著优于氨溴特罗口服溶液,证明了金振口服液止咳和化痰作用总体非劣效于一线化药,并且能综合改善呼吸系统和全身不适症状。

图3 金振口服液改善急性支气管炎儿童的咳嗽症状
该研究基于网络靶标和动物实验发现金振口服液对急性支气管炎咳嗽症状的关键调节机制及靶点,表明金振口服液在治疗儿童急性支气管炎的临床疗效非劣于止咳化痰临床一线化药。该研究为临床治疗儿童急性支气管炎提供了新方案,并为临床-计算-实验联合研究提供了范例。
采用上述研究策略,李梢团队通过UNIQ系统网络靶标分析,与天津中医药大学第一附属医院马融主任组织的多中心临床试验验证合作,还发现了金振口服液治疗儿童支原体肺炎的新适应症,论文近期发表于Chinese Medicine。
以上研究表明,临床-计算-实验联合研究是中医药网络药理学的重要发展方向,有助于发掘并精准定位中药的临床价值,为中药研发和上市后评价提供一条新路径。
APSB论文出处:https://www.sciencedirect.com/science/article/pii/S2211383524003538
Chinese Medicine论文出处:https://link.springer.com/article/10.1186/s13020-025-01149-3